Hawking a los 19 años
Durante los fines de semana me gusta indagar en poesía, teatro, artículos y otros géneros literarios menos transitados que la novela y el relato, y también traer aquí historias curiosas o insólitas, para ilustrar el viejo adagio que dice que «A veces, la realidad supera a la ficción».
Hoy me apetece hablar del último artículo científico publicado por el recientemente fallecido Stephen Hawking. Lo escribió en colaboración con Thomas Hertog, constituye la culminación de una larga colaboración y se ha publicado hace poco, el 20 de abril, después de su muerte ocurrida el 14 de marzo, tras un proceso de revisión de algo más de un mes.
Es un texto de Cosmología, titulado «¿Una salida suave de la inflación eterna?» y disponible en inglés en este enlace. Se trata del último resultado de una colaboración entre Hertog y Hawking que ha durado más de veinte años, que consiste en que parece que en el Big Bang se generaron varios universos paralelos al que conocemos, con las mismas leyes de la física y demanera que es posible que se puedan llegar a detectar indicios de su existencia.
En la década de los 80 Hawking, con la ayuda del estadounidense James Hartle, formuló un modelo, el modelo Hawking-Hartle, sobre el origen del universo, ocurrido hace unos 14 000 millones de año con un Big Bang. Antes de esa explosión no existía el espacio, ni el tiempo, ni las leyes de la Física; primero apareció el espacio, luego el tiempo y fnalmente, todo lo demás, un universo en expansión, es decir con inflación.
Esa gran explosión encajaba perfectamente en la Relatividad general de Einstein, pero no se tenía justificación teórica alguna de porqué se había producido hasta la formulación de ese modelo. Aplicaron la teoría de la Mecánica Cuántica y llegaron a una formulación que justificaba la gran explosión, pero que conllevaba la aparición de infinitos universos generados al azar, algunos regidos por leyes físicas similares a las que conocemos y otros con leyes completamente diferentes. Además todo sería posible que sucediese en alguno de esos universos.
Esa gran explosión encajaba perfectamente en la Relatividad general de Einstein, pero no se tenía justificación teórica alguna de porqué se había producido hasta la formulación de ese modelo. Aplicaron la teoría de la Mecánica Cuántica y llegaron a una formulación que justificaba la gran explosión, pero que conllevaba la aparición de infinitos universos generados al azar, algunos regidos por leyes físicas similares a las que conocemos y otros con leyes completamente diferentes. Además todo sería posible que sucediese en alguno de esos universos.
El panorama de un número ilimitado de multiversos no les pareció muy satisfactorio, el que se diesen todas las posibilidades parecía romper la idea de predicción y además, no se justificaba por qué nos encontramos precisamente en éste universo que conocemos. A partir de los 90, Hawking empezó a estudiar con Hertog la Teoria de Cuerdas (las partículas que conocemos son notas dadas por cuerdas al vibrar) y las matemáticas en las que se basa.
Después de muchos años, ahora han presentado los últimos resultados de su aplicación al Big Bang, en un modelo que parece indicar que el número de universos paralelos no es infinito y que sólo los universos que tengan las mismas leyes físicas que el nuestro son posibles.
Esa teoría implica que los universos paralelos se rigen por las mismas leyes que el nuestro, que esas leyes de la física no han sido eternas, sino que surgieron después del Big Bang y que estudiando la radiación de fondo, el eco que todavía nos llega de ese momento inicial explosivo, es posible que se pueda detectar algún indicio de los multiversos que se crearon en paralelo. Uno de esos indicios sería la detección de ondas gravitacionales generadas en el Big Bang o al menos la huella que ha dejado su perturbación en la radiación de fondo. Si la teoría se desarrolla matemáticamente lo suficiente como para predecir qué perturbaciones dejaron las ondas gravitacionales en la radiación de fondo, se podrían tratar de medir esas perturbaciones y la teoría se podría corroborar o falsear.
Así que parece que vivimos en una burbuja en expansión, una de las muchas que aparecieron en la gran explosión con la que todo comenzó. La Cosmología cada vez se parece más a la poesía, a un extraño cuento de hadas y a los mitos de origen dle mundo de las culturas primitivas..
Stephen Hawking (Oxford, 1942-2018) está considerado como uno de los grandes físicos del siglo XX. Hijo de un biólogo investigador, nació en Oxford porque su padres huyeron de Londres, cuando los alemanes comenzaron a bombardearlo masivamente, para buscar un sitio más seguro.
Fué un buen estudiante, pero no fué un alumno brillante. Quiso estudiar en el University College de Oxford, como su padre, y al no haber allí Matemáticas, estudió Física. Sus profesores se dieron cuenta en seguida de su enorme talento y de que su mente funcionaba de una manera diferente a la habitual porque no sacaba resultados extraordinarios en los exámenes, sino simplemente buenos.
Presentó su tesis doctoral en Cambridge titulada «Propiedades de universos en expansión», que está accesible en este enlace. Durante 29 años ocupó la Cátedra Lucasiana de Matemáticas, en Cambridge, fundada en 1663 y ocupada hace siglos por Isaac Newton. Contribuyó notablemente al estudio de los agujeros negros, aplicando tres teorías habitualmente disjuntas, la Termodinámica, la Relatividad General y la Mecánica Cuántica, y fué un cosmólogo consumado.
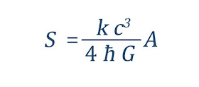
Aplicó la Termodinámica a los Agujeros Negros haciendo una analogía entre su Entropía (S) y la superficie de su horizonte de sucesos (A) y demostró que S es proporcional a A.
Fórmula de la Entropía de un Agujero negro que figura en el epitafio de Hawking
La Entropía es un concepto termodinámico que da idea del desorden de un sistema y que siempre aumenta. Los seres vivos somos islas en las que la entropía disminuye; al crecer nos ordenamos, nos estructuramos, a costa de aumentarla en nuestro entorno.
Aplicando las ideas de la Mecánica Cuántica, según la cual si toda partícula se comporta en ciertas circunstancias como una onda y está representada por una función de onda, aunque haya una barrera insalvable, la función de onda no es nula fuera de la barrera y hay cierta probabilidad de que la partícula pueda atravesar la barrera (Efecto túnel). Luego los Agujeros Negros pueden emitir por Efecto túnel.
Al poco de llegar a Cambridge empezó a desarrollar Esclerosis Lateral Amiotrófica (ELA), una enfermedad muscular degenerativa que le postró en una silla motorizada pero que, de manera asombrosa, no le ha impedido desarrollar una brillante carrera como físico teórico y llegar a la edad de 76 años.
Hawking experimentando la ingravidez (Jim Campbell/AeroNews Network)
Publicado por Antonio F. Rodríguez.



No hay comentarios:
Publicar un comentario